반응형
드 모르간의 법칙
AND 연산과 OR 연산을 서로 바꾸고, 각 변수의 보수(부정)을 취합니다. 집합론에도 적용된다.

드 모르간의 제 1법칙

A X B의 보수를 취한 것이 A의 보수와 B의 보수를 합한 것과 같다.
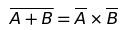
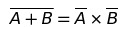
드 모르간의 제 2법칙

A + B의 보수를 취한 것이 A의 보수와 B의 보수를 곱한 것과 같다.
전자회로에서의 응용
전자회로에도 동일하게 적용이 가능하다.

드모르간 법칙의 증명

예제
// 해당 조건을 아래의 조건으로 변경이 가능하다. 드모르간의 법칙 적용
if (m_width == width || m_height == height) return true;
if (m_width != width && m_height != height) return false;
함께 읽으면 좋은 글
집합 기호와 명제 기호 간의 상호번역
드모르간의 법칙에 의한 상반개념 집합 언어와 명제 언어를 서로 번역해 보자 우리는 전체집합을 설정했을 때 A가 아닌 나머지 구역이라는 뜻에서 A의 여집합을 설정할 수 있다. 이때 우리는 A와
jettstream.tistory.com
출처
[이산수학]드 모르간(De-Morgan) 법칙이란?
[이산수학]드 모르간(De-Morgan) 법칙이란? 드 모르간의 법칙은 AND와 OR연산을 서로 바꾸고, 각 변수의 보수(부정)을 취합니다. 집합론에도 적용됩니다. ■ 드 모르간의 제 1법칙 A x B의 보수를 취한
bite-sized-learning.tistory.com
'프로그래밍' 카테고리의 다른 글
| 도메인 주도 개발(Domain Driven Development) - DAO, DTO, VO에 대해서 (8) | 2023.07.18 |
|---|---|
| 카르노맵(Karnaugh-Map)에 대해서 (29) | 2023.07.17 |
| 플랫 버퍼(FlatBuffers)에 대해서 - C# 환경에서 빌드하기 (16) | 2023.07.12 |
| 빅-오(Big-O) 표기법 (26) | 2023.06.12 |
| 우매함의 봉우리. 더닝 크루거 효과(Dunning-Kruger Effect) (2) | 2023.05.23 |
댓글