회로를 구성하는 주요 부품들은 모두 '다리'를 가지고 있다. 회로에 흐르는 전기를 받는 부분과 내보내는 부분이 있기 때문에 기본적으로 두 개의 다리를 가진다. 대표적으로 '저항'과 '축전기'는 다리가 두 개씩 있는데 저항의 다리는 양쪽으로 뻗어 있고, 축전기는 같은 방향으로 두 개의 다리를 뻗고 있다. 오늘 다룰 트랜지스터는 이와 달리 세 개의 다리를 가지고 있어 다른 부품과 구별이 매우 쉽다.

트랜지스터는 미국 벨 연구소에서 근무하던 쇼클리, 바딘, 브래튼이 1948년 발명한 것으로 전기 전자회로에서 없어서는 안 될 매우 중요한 부품이다. 트랜지스터를 발명한 당시에는 이 부품에 특별히 정해진 이름이 없었는데 벨 연구소 내에서 이름 공모를 위한 투표를 실시해 6개의 이름 후보 중 압도적 선호로 선정됐다. 트랜지스터(Transistor)는 전송하다는 뜻의 Transfer, 저상 소자라는 뜻의 Varistor의 합성어로, 전도성을 가지면서 동시에 저장의 역할도 한다는 의미에서 그 특징을 가장 잘 표현하는 이름이었기 때문에 연구원들에게 매력적으로 보였던 것 같다.

트랜지스터 발명 이전의 전자기기는 어떤 모습이었을까? 현재 우리가 사용하고 있는 컴퓨터의 첫 번째 조상님은 1946년에 개발된 '에니악(ENIAC)'이다. 에니악은 1만 8천 개가 넘는 진공관을 사용해 작동됐다. 진공관은 부피가 큰 부품이었기 때문에 에니악의 크기는 길이 25미터, 폭 1미터, 높이 2.5미터였으며, 무게만 무려 30톤에 달했다. 컴퓨터 한 대가 일반 승용차 30대 정도의 무게에 해당했으니 컴퓨터의 조상님은 어마어마한 거인의 외모를 가지고 있었던 것이다.
하지만 트랜지스터의 개발로 전자 부품 소형화 시대가 열렸고, 전자 기기는 현재 사용하는 컴퓨터, 노트북, 스마트폰 등의 크기로 획기적인 몸집 줄이기가 가능해졌다.
트랜지스터의 구조와 작동 원리

트랜지스터는 p형 반도체 두 개와 그 사이에 n형 반도체를 끼워 만든 'pnp형 트랜지스터'와 반대로 n형 반도체 두 개와 그 사이에 p형 반도체를 끼워 넣은 'npn형 트랜지스터'가 있다. 사이에 낀 반도체는 매우 얇게 만드는데 수 ㎛(마이크로미터)에서 수 nm(나노미터)의 두께로 만든다. 사람의 머리카락 굵기가 50~100 ㎛이니 사이에 끼워 넣은 반도체의 굵기는 매우 얇은 것이다.
먼저 트랜지스터의 각 부분의 명칭과 작동 원리를 'pnp형 트랜지스터'를 통해 살펴보자.

그림 왼쪽의 p형 반도체에는 양공(Positive home, 정공)이 있으며 가운데 낀 n형 반도체에는 남는 전자가 있다. 왼쪽 회로의 p-n 접합부에 순방향 전압 V1을 걸어주면 p형 반도체에 있는 양공은 밀려나 오른쪽으로 이동하고, n형 반도체에 있는 전자는 왼쪽으로 이동하여 양공과 전자가 접합면으로 움직인다. 그렇게 되면 왼쪽으로 전류가 흐른다.
그런데 n형 반도체가 매우 얇다 보니 양공과 결합한 전자가 턱없이 부족하게 된다. 이때 오른쪽 회로의 n-p 접합부에 역방향 전압 V2를 걸어주어 남아도는 양공이 오른쪽으로 건너와 역방향 전압 V2의 (-) 단자에서 공급되는 전자와 결합하여 더 큰 전류가 흐르게 된다.

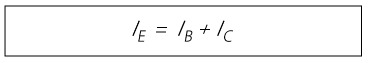
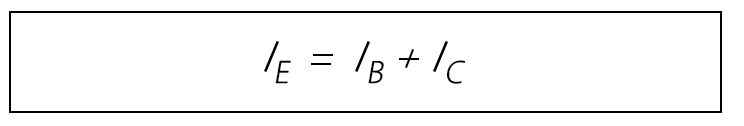
이때 왼쪽 p형 반도체는 양공을 방출하므로 방출한다는 뜻의 이미터(Emitter)라고 부르고, n형 반도체를 건너간 양공을 수집하는 오른쪽 p형 반도체를 수집한다는 뜻의 컬렉터(Collector), 사이에 낀 n형 반도체를 베이스(Base)라고 한다. 사실 이미터, 베이스, 컬렉터의 용어 정리만 잘 되어 있어도 반도체의 절반은 알고 들어가는 셈이다.

이미터에 흐르는 전류를 ‘IE’, 베이스 전류를 ‘IB’, 컬렉터 전류를 ‘IC’라고 하면 이들의 관계는 위와 같다.

이번에는 npn형 트랜지스터의 작동 원리를 보자. pnp형의 작동 원리를 이해했다면 npn형도 금방 이해할 수 있다. 다만, 이미터에서 양공을 방출하는 pnp형과는 달리 npn형은 전자가 방출된다. 이 전자들은 베이스의 양공과 접합면에서 결합하여 전류가 흐르게 된다. 하지만 p형 반도체가 매우 얇아 양공과 결합하지 못한 남아도는 전자들이 컬렉터 쪽으로 넘어가게 되고 컬렉터 쪽에서 베이스 쪽보다 더 큰 전류가 흐르게 된다.

트랜지스터 기능
스위칭 기능
트랜지스터의 매우 중요한 역할인 스위칭 작용에 대해 알아보자. 스위치 하면 떠오르는 것이 집에 있는 전등 스위치일 것이다. 전등의 스위치를 생각하면 트랜지스터의 스위칭 작용은 매우 쉽다. 아래 회로와 같이 스위치가 열려 있으면 베이스에 전류가 흐르지 않고 이때 모든 전류계에 전류가 흐르지 않는다.

하지만 스위치를 닫아 베이스에 전류가 흐르면 모든 전류계에 전류가 흐르게 된다. 이런 성질을 이용하면 회로에서 전류가 흐를 때는 1, 전류가 흐르지 않을 때를 0으로 하여 스위치처럼 이용할 수 있다. 이것을 트랜지스터의 스위칭 작용이라고 한다.
증폭 기능
다음은 트랜지스터의 증폭 작용에 대해 알아보자. 트랜지스터의 베이스는 매우 얇아서 pnp형이든 npn형이든 베이스에 흐르는 전류는 약한 전류가 흐르게 된다. 이에 비해 컬렉터에 흐르는 전류는 베이스 전류보다 매우 센 전류가 흐르게 되는데 컬렉터 전류 IC는 베이스 전류 IB에 비례하는 성질이 있어서 다음과 같이 표현할 수 있다.

이때 β를 전류 증폭률이라고 한다. 예를 들어 β =100이라고 하면, β =IC / IB이므로 베이스 전류가 1mA이면 컬렉터 전류는 100mA이지만, 베이스 전류가 2mA이면 컬렉터 전류는 200mA가 된다. 베이스 전류가 1mA만큼 증가할 때 컬렉터 전류는 무려 100mA나 증가한다. 이처럼 베이스의 작은 전류 변화가 컬렉터에는 큰 변화로 나타나는 것을 증폭 작용이라고 한다.

앰프는 트랜지스터의 증폭 작용을 이용하는 대표적인 기기다. 마이크가 음성 신호를 전기 신호로 바꿔주면 이 신호는 앰프를 거쳐 크게 증폭되는데, 앰프 안에 트랜지스터가 있기 때문이다. 이렇게 증폭된 전기 신호는 스피커를 빠져나올 때 다시 음성 신호로 바뀌게 된다.
트랜지스터는 전파나 음성 신호와 같은 교류 신호의 증폭뿐만 아니라 직류 전기신호의 증폭에도 이용된다. 이것을 직류 증폭이라고 하는데 직류전원 장치(파워서플라이)에도 트랜지스터가 이용되고 있다.
우리가 사용하는 대부분의 전자제품에는 트랜지스터가 들어있다. 제품 내부의 전자회로에 장착되어 있기 때문에 우리 눈에 쉽게 띄지는 않지만, 휴대성과 소형화가 중요해진 21세기, 특히 모바일 중심 세상에 살고 있는 현재의 우리에게 트랜지스터는 없어서는 안 될 전자 부품이다. 트랜지스터는 현재는 물론, 미래에도 플렉시블 디스플레이용 TFT 등 다양한 분야에서 다양한 형태로 발전하며, 그 중요성도 계속 이어질 것으로 전망된다.
SRAM과 DRAM에 대하여
RAM이란 무엇인가? RAM이란 Random Access Memory의 줄임말로 프로그램이 실행되는 동안 필요한 데이터를 저장하는 컴퓨터 장치이다. RAM은 저장된 데이터를 순차적이 아닌 임의의 순서(즉, 빠르다)로 액
jettstream.tistory.com
함께 보면 좋은 영상
출처
전자 혁명의 시초 ‘트랜지스터’ 알아보기!
세 발 달린 미니 마법사, ‘트랜지스터’ 회로를 구성하는 주요 부품들은 모두 ‘다리’를 가지고 있다. 회로에 흐르는 전기를 받는 부분과 내보내는 부분이 있기 때문에 기본적으로 두 개의 다
news.samsungdisplay.com
'하드웨어 > 시스템 반도체' 카테고리의 다른 글
| 반도체 수율(Yield)이란? (2) | 2023.07.19 |
|---|---|
| 인텔 사파이어 래피즈에 대해서 (6) | 2023.07.10 |
| 집적회로, 소자 미세화 시대로 나아가다 (30) | 2023.06.21 |
| 웨이퍼에 회로를 그려 넣는 포토공정 (12) | 2023.06.16 |
| '집적회로'의 탄생 (38) | 2023.06.14 |
댓글