반응형
너비 우선 탐색이란?
- 분류 : 검색 알고리즘
- 자료 구조 : 그래프(Graph)
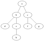
너비 우선 탐색(Breadth-first search, BFS)은 맹목적 탐색방법의 하나로 시작 정점을 방문한 후 시작 정점에 인접한 모든 정점들을 우선 방문하는 방법이다. 더 이상 방문하지 ㅇ낳은 정점이 없을 때까지 방문하지 않은 모든 정점들에 대해서도 너비 우선 검색을 적용한다.

의사 코드(Pseudo Code)
def breadth_first_search(problem):
# a FIFO open_set
open_set = Queue()
# an empty set to maintain visited nodes
closed_set = set()
# a dictionary to maintain meta information (used for path formation)
meta = dict() # key -> (parent state, action to reach child)
# initialize
start = problem.get_start_state()
meta[start] = (None, None)
open_set.enqueue(start)
while not open_set.is_empty():
parent_state = open_set.dequeue()
if problem.is_goal(parent_state):
return construct_path(parent_state, meta)
for (child_state, action) in problem.get_successors(parent_state):
if child_state in closed_set:
continue
if child_state not in open_set:
meta[child_state] = (parent_state, action)
open_set.enqueue(child_state)
closed_set.add(parent_state)
def construct_path(state, meta):
action_list = list()
while True:
row = meta[state]
if len(row) == 2:
state = row[0]
action = row[1]
action_list.append(action)
else:
break
return action_list.reverse()
C# 예제 코드
public void BFS()
{
int[] dirY = new int[] { -1, 1, 0, 0 };
int[] dirX = new int[] { 0, 0, -1, 1 };
bool[,] found = new bool[board.Size, board.Size];
Pos[,] parent = new Pos[board.Size, board.Size];
Queue<Pos> q = new Queue<Pos>();
q.Enqueue(new Pos(PosY, PosX));
found[PosY, PosX] = true;
parent[PosY, PosX] = new Pos(PosY, PosX);
while(q.Count > 0)
{
Pos pos = q.Dequeue();
int nowY = pos.Y;
int nowX = pos.X;
for (int i = 0; i < 4; i++)
{
int nextY = nowY + dirY[i];
int nextX = nowX + dirX[i];
if (nextY <= 0 || nextX <= 0 || nextY >= board.Size || nextX >= board.Size)
{
continue;
}
if (board.Tile[nextY, nextX] == TileType.Wall)
{
continue;
}
if (found[nextY, nextX])
{
continue;
}
q.Enqueue(new Pos(nextY, nextX));
found[nextY, nextX] = true;
parent[nextY, nextX] = new Pos(nowY, nowX);
}
}
CalcPathFromParent(parent);
}
private void CalcPathFromParent(Pos[,] parent)
{
int y = DestY;
int x = DestX;
while (parent[y, x].Y != y || parent[y, x].X != x)
{
path.Add(new Pos(y, x));
Pos pos = parent[y, x];
y = pos.Y;
x = pos.X;
}
path.Add(new Pos(y, x));
path.Reverse();
}
함께 읽으면 좋은 글
Graph 자료구조
Graph란 무엇인가? 정점(vertex(V))과 그 정점을 연결하는 간선(edge(E))을 하나로 모아 놓은 자료구조. 연결되어 있는 객체 간의 관계를 표현할 수 있는 자료구조 G = (V, E) ex. 지도, 지하철 노선도, 전기
jettstream.tistory.com
그래프(Graph)와 트리(Tree)
그래프(Graph)란 무엇인가? 그래프는 노드(하나의 점)와 노드 간을 연결하는 간선으로 구성된 자료구조이다. 이를 통해 연결된 노드 간의 관계를 표현할 수 있다. 그래프의 특징 그래프는 순환 혹
jettstream.tistory.com
[프로그래머스 Programmers] 네트워크
문제 설명 네트워크란 컴퓨터 상호 간에 정보를 교환할 수 있도록 연결된 형태를 의미합니다. 예를 들어, 컴퓨터 A와 컴퓨터 B가 직접적으로 연결되어있고, 컴퓨터 B와 컴퓨터 C가 직접적으로 연
jettstream.tistory.com
'프로그래밍 > Algorithm' 카테고리의 다른 글
| 깊이 우선 탐색(Depth-first search, DFS) (1) | 2023.08.30 |
|---|---|
| 스택(Stack) 자료구조 (1) | 2023.08.30 |
| 그래프(Graph) 자료구조 (4) | 2023.08.29 |
| [프로그래머스 Programmers] 배달 (2) | 2023.08.29 |
| 방향 배열(Direction Array)로 간편하게 상하좌우 배열 이동하기 (1) | 2023.08.25 |
댓글