팩토리얼(Factorial, 계승)
수학에서, 자연수의 계승 또는 팩토리얼은 그 수보다 작거나 같은 모든 양의 정수의 곱이다. n이 하나의 자연수일 때, 1에서 n까지의 모든 자연수의 곱을 말한다. 기호는 느낌표(!)를 쓰며 팩토리얼이라고 읽는다.
쉽게 정리하면
5! = 1×2×3×4×5
특히, 0의 계승은 1이다.
n! = nPn = 1 * 2 * 3 ... (n - 2) * (n - 1) * n
순열에서는 n * (n - 1) * (n - 2) ... 3 * 2 * 1 로 나타낸다. 하지만 순서와 상관없이 값은 동일하다.
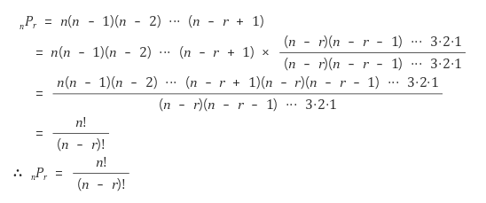
4P3 = 4 * 3 * 2를 일반화 해보면
4P3 = 4 * (4 - 1) * (4 - 2)
nPr = n * (n - 1) * (n - 2) ... (n - (r - 1)) 에서 괄호를 제거하면 아래의 식과 같다.
nPr = n(n - 1)(n - 2) ... (n - r + 1)

n에서 r개를 선택하는 순열을 일반화한 공식으로 정리해보았다.
n개에서 r개를 고르는 방식에다가 n * (n - 1) * (n - 2) ... (n - r + 1) 해당 부분에 나머지 부분을 채워준다.
n * (n - 1) * (n - 2) ... (n - r + 1) * (n - r) * (n - r - 1) ... 3 * 2 * 1
1까지 도달하면서 n!이 된다.
분모 부분도 (n - r) * (n - r - 1) ... 3 * 2 * 1
1까지 도달하면서 (n - r)!이 된다.
r = n 인 경우
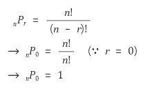
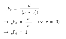
nPr = nPn = n! / (n - r)! = n! / (n - n)! = n! / 0! = n! / 1 = n!
0! = 1인 증명
0! = 0P0
0P0 = 0! / (0 - 0)! = 0! / 0! = 1
만약 r = 0 인 경우 어떻게 되는지 보자.

함께 읽으면 좋은 글
0!은 왜 1일까?
팩토리얼(factorial)은 자연수(=양의 정수)의 계승이라고도 합니다. 기호는 느낌표(!)를 사용하고, n이 양의 정수일 때 1부터 n까지의 곱을 n!이라고 합니다. 예를 들어서 3!(=6)은 1×2×3이고, 4!(=24)은 1
samulgoongi.com
참조 사이트
순열과 조합 - 순열2. 팩토리얼(factorial), 계승
순열 두 번째 시간이에요. 새로운 용어와 기호를 공부할 거예요. 계승과 팩토리얼(factorial)이라는 용어인데 계승과 팩토리얼이 무엇을 의미하는지 기호로 어떻게 나타내는지를 잘 기억해두세요.
mathbang.net
'프로그래밍 > 수학' 카테고리의 다른 글
| 통분에 대해서 알아보자 (0) | 2024.03.12 |
|---|---|
| 합의 법칙과 곱의 법칙 (1) | 2024.03.06 |
| 점화식이란 무엇인가? (1) | 2024.03.05 |
| 숫자 10은 허상이다 (0) | 2024.01.22 |
| 1e+6 이게 뭔데? 과학적 표기법이란 무엇인가? (1) | 2023.12.29 |
댓글