다항식 곱하기
두 개의 다항식의 곱 (a + b)(c + d)를 곱한다고 한다면
(a + b)를 m으로 치환하고 나서 분배 법칙을 적용해 보자.
(a + b)(c + d)
= m(c + d)
= (m x c) + (m x d)
= ((a + b) x c) + ((a + b) x d)
= ac + bc + ad + bd
ac + ad + bc + bd
이런 방식으로 만약 (a + b)2를 계산한다면 어떻게 될까요?
(a + b)(a + b)
= m(a + b)
= (m x a) + (m x b)
= ((a + b) x a) + ((a + b) x b)
= a2 + ab + ab + b2
= a2 + 2ab + b2
$$ (a + b)^2 = a^2 + 2ab + b^2 $$
$$ (a - b)^2 = a^2 - 2ab + b^2 $$

이런 방식으로 만약 (a - b)2를 계산한다면 어떻게 될까요?
(a - b)(a - b)
= m(a - b)
= (m x a) - (m x b)
= ((a - b) x a) - ((a - b) x b)
= a2 - ab - ab + b2
= a2 - 2ab + b2

(a - b)2의 경우 도형이 줄어든다.
큰 파랑 사각형 a2에서 노란 영역을 빼준다고 가정한다면 아래와 같이 쓸 수 있다.
= a2 - (b(a - b) + b(a - b) + b2)
= a2 - ((ab - b2 + ab - b2) + b2)
= a2 - (2ab - 2b2 + b2)
= a2 - (2ab - b2)
= a2 - 2ab + b2

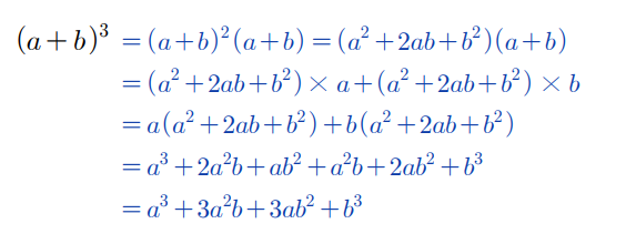
다항식 세제곱하기
다항식의 곱 (a + b)(a + b)(a + b)를 곱한다고 한다면 2차원이었던 도형이 이제 3차원으로 확장된다.



'프로그래밍 > 수학' 카테고리의 다른 글
| 소인수 분해 용어 정리 (2) | 2024.05.02 |
|---|---|
| 조합의 성질에 대해서 (0) | 2024.04.05 |
| 항, 상수항, 계수란 무엇인가? (1) | 2024.04.03 |
| 2는 유일한 짝수 소수(even prime number)이다. (1) | 2024.04.02 |
| 정수의 기하학적인 성질 (0) | 2024.03.19 |
댓글