반응형
시그마(Σ, sigma)란?
시그마는 합을 표현하기 위해 만들어진 수학기호이다.
예를 들어 1에서 n까지의 모든 숫자의 총합을 나타낸다고 하면 아래와 같이 표현한다.

i = 1부터 시작해서 i = n까지의 모든 수를 더하라.
시그마의 성질
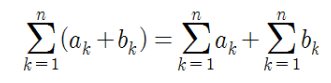
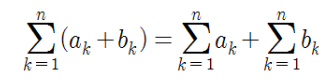
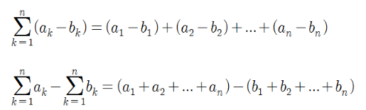
- 합으로 연결되어 있다면 시그마 두 개로 분리할 수 있다. (교환법칙)


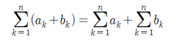
- 합으로 연결되어 있다면 시그마 두 개로 분리할 수 있다. (교환법칙)

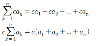
- 일반항에 곱셈, 나눗셈으로 연결되어 있으면 계수를 시그마 앞으로 묶어낼 수 있다. (분배법칙)


- 일반항에 상수가 있으면 (상수) x (개수)로 바꿀 수 있다.

시그마의 기본 전제에 대해서
시그마는 이산적 변수에 대한 합이다.
숫자의 세계에서 1 다음이 과연 2인가에 대한 고민은 중학교 때 아마 처음 할 것이다.
실수의 세계에서 숫자는 무한하므로 1과 2 사이의 숫자도 무한하다.
시그마는 1을 대입한 다음 2를 대입하고 3을 대입한다.
즉, 시그마는 일정하게 떨어진(이산적) 실수인 정수에 대해서 낮은 것에서 높은 순서대로 대입하게 된다.
참고 사이트
7. ∑(시그마)의 뜻과 성질
7. ∑(시그마)의 뜻과 성질 (1) ∑(시그마)의 뜻 ∑는 합을 표현하기 위해 만들어진 수학적 기호...
blog.naver.com
[수Ⅰ] 시그마? 쉽게 알아보자!(시그마의 정의와 성질)
안녕하세요~ 해운대 초,중,고 수학전문학원 해원수학입니다. 오늘 배워볼 것은 수1 수열파트에서 나오는 수...
blog.naver.com
'프로그래밍 > 수학' 카테고리의 다른 글
| 거리 - 속력 - 시간 관계에 대해서 (0) | 2024.05.17 |
|---|---|
| 완전수(Perfect Number) 이야기 (0) | 2024.05.09 |
| 방정식(Equation)과 항등식(Identity) (1) | 2024.05.03 |
| 지수(Exponent)와 차수(Degree) (0) | 2024.05.03 |
| 소인수 분해 용어 정리 (2) | 2024.05.02 |
댓글